Windows NT 3.1 Build 256
跳转到导航
跳转到搜索
| Windows NT 3.1 的版本 | |
| 操作系统系列 | Windows NT 系列 |
|---|---|
| 内核版本 | 1.0 |
| 内部版本号 | 256 |
| 体系结构 | x86 |
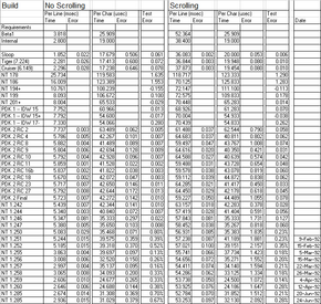
Windows NT 3.1 Build 256 是 Windows NT 3.1 的版本,在 Windows NT 3.5 Build 782.1 源代码的文件 TEXTPERF.XLS 中提到了它。这个版本是在 1992 年 3 月 5 日测试的,所以它很可能是在该日期之前不久编译的。